Freistellung
Begriffsbestimmung
Unter dem Begriff Freistellung wollen wir hier ein Verfahren verstehen, bei dem durch gezielt scharfe Abbildung eines Objektes und gleichzeitig unscharfe Abbildung von Hintergrund und Vordergrund eine Konzentration auf das besagte Objekt im Foto erfolgt. Das Objekt wird dabei im Idealfall als einzig scharfes Bildelement aus seiner unscharfen Umgebung herausgelöst – also "freigestellt". Details, die hinter oder vor diesem Objekt liegen, lenken somit nicht von diesem ab (z.B. Personen, die im Hintergrund stehen und in die Kamera winken) und treten nicht in ungewollte Interaktion mit dem Objekt (z.B. ein Ast im Hintergrund, der dem Fotomodell aus der Nase zu wachsen scheint).
Wie stellt man ein Objekt frei? Wovon wird der Grad der Freistellung beeinflusst? Welche Mittel können eingesetzt werden, um den Freistellungseffekt zu steuern? Diesen Fragen widmet sich dieser Text.
Tatsächlich ist ein Objekt dann besonders gut freigestellt, wenn das Objekt vollständig scharf dargestellt wird und Hintergrund sowie Vordergrund sehr unscharf abgebildet werden. Der Freistellungsgrad wird also von der erzielbaren Unschärfe im Hintergrund und Vordergrund bestimmt.
Was ist Unschärfe?
Ein punktförmiges Objekt, "auf das genau scharfgestellt" wurde, wird als Punkt auf dem Film oder Sensor wiedergegeben. Anders gesagt: Ein Punkt der sich auf der sogenannten Gegenstandsebene befindet wird als Punkt auf der Bildebene abgebildet (siehe auch hier). Dies ist eine idealisierte Darstellung. Beugungserscheinungen und Linsenfehler wollen wir hier nicht berücksichtigen.
Ein Punkt, der sich hinter oder vor der Gegenstandsebene befindet, wird (im Idealfall) als Kreisscheibe abgebildet. Diesen Kreis bezeichnet man als Zerstreuungskreis, da hier das Licht auf einer kreisförmigen Fläche zerstreut verteilt wird. Den Durchmesser dieses Kreises nennt man den Zerstreuungskreisdurchmesser. Ist dieser hinreichend klein, so erscheint die Kreisscheibe dem Betrachter nicht als Scheibe sondern immer noch als Punkt und er empfindet die Abbildung immer noch als scharf (siehe auch hier).
Ein punktförmiges Objekt erscheint erst unscharf abgebildet, wenn der erzeugte Zerstreuungskreis so groß ist, dass er von einem Punkt sicher unterschieden werden kann. Das Objekt befindet sich dann außerhalb des Bereichs der Schärfentiefe. Ein Objekt wird umso unschärfer abgebildet, je größer der erzeugte Zerstreuungskreis ist.
Ist die Schärfentiefe allein als Beurteilungskriterium für die Freistellung geeignet? Die Schärfentiefe beschreibt gemäß ihrer Definition die Ausdehnung des Bereichs vor und hinter der eingestellten Aufnahmeentfernung, in der Objekte gemäß Definition noch scharf abgebildet werden können. Die Schärfentiefe beschreibt nicht, wie unscharf Objekte abgebildet werden, die sich weiter vor bzw. hinter dem Bereich der Schärfentiefe befinden. Sie hat somit in der praktischen Fotografie keine unmittelbare Bedeutung bei der Freistellung von Objekten. Zum Begriff Schärfentiefe wurde hier bereits einiges gesagt.
Nachfolgend soll nun theoretisch untersucht und gezeigt werden, wovon sowohl der Grad der Vordergrund- als auch der Grad der Hintergrundunschärfe abhängen.
Berechnung & formelmäßige Zusammenhänge
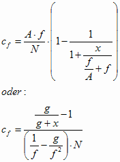
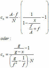
Der Größe des erzielten Zerstreuungskreisdurchmessers kommt, wie es oben dargestellt wurde, eine zentrale Bedeutung zu. Er kann wie folgt berechnet werden.
| Zerstreuungskreisdurchmesser für Punkte im Fernbereich, die sich aus Kamerasicht hinter der eingestellten Entfernung (hinter der Gegenstandsebene) befinden |
| Zerstreuungskreisdurchmesser für Punkte im Nahbereich, die sich aus Kamerasicht vor der eingestellten Entfernung (vor der Gegenstandsebene) befinden |
| A | Abbildungsmaßstab |
| g | Gegenstandsweite |
| f | Brennweite |
| N | Blendenzahl |
| x | Abstand zur Gegenstandsebene; Abstand zur eingestellten Entfernung; in dieser Darstellung stets positiv einzusetzen (x > 0) |
Die absoluten Zahlenwerte, die sich so berechnen lassen, sind sehr abstrakt. Deshalb möchte ich eine Größe verwenden, die ich "relative Schärfe" nenne. Sie berechnet sich als Quotient aus zulässigem Zerstreuungskreisdurchmesser und tatsächlichem Zerstreuungskreisdurchmesser.
![]()
| czul | zulässiger Zerstreuungskreisdurchmesser |
| ctats | tatsächlicher Zerstreuungskreisdurchmesser |
Da, wie hier bereits dargestellt wurde, die Definition von czul auf einer Konvention basiert, basiert RS auf der selben Konvention. Durch die gewählte Darstellung als Prozentwert kann man erkennen, wie groß die tatsächlich vorhandene Schärfe gemessen an dem als "hinreichend scharf" definierten Zustand ist: 0% = völlig unscharf, 100% = hinreichend scharf, >100% = noch schärfer als hinreichend scharf (aber visuell nicht mehr davon zu unterscheiden).
Sind czul und der ctats gleich groß, so ergibt sich eine relative Schärfe RS von 100%. Der betrachtete Punkt liegt dann auf der Grenze des Bereichs der Schärfentiefe. Ist RS = 50%, so bedeutet dies, dass ctats doppelt so groß ist wie czul.
Abhängigkeit der Unschärfe im Hintergrund und Vordergrund von der Brennweite des verwendeten Objektivs
Die folgende Grafik veranschaulicht den Verlauf der relativen Schärfe in Abhängigkeit vom "Defokus"-Abstands (= Abstand des abgebildeten Objekts zur eingestellten Entfernung bzw. zur Gegenstandsebene) bei vier verschiedenen Brennweiten, 17 mm, 28 mm, 55 mm und 135 mm, an einer DSLR mit 1,6er Crop-Aufnahmeformat (14,8 mm x 22,2 mm). Dem Aufnahmeformat entsprechend wird ein zulässiger Zerstreuungskreisdurchmesser zugrunde gelegt. Die gewählte Blende ist stets f/2,8. In allen Fällen wird hier zunächst ein Objekt von 2,22 m Größe formatfüllend abgebildet, d.h. im Abbildungsmaßstab 0,01 : 1.
Man erkennt bei jeder Kurve, dass die relative Schärfe sich mit zunehmender Entfernung einem Minimum anzunähern scheint. Die relative Schärfe ist bei langen Brennweiten stets geringer als bei kurzen Brennweiten.
PDF
Abbildung 1: relative Schärfe; Abhängigkeit vom Defokus-Abstand und Brennweite; kleiner Abbildungsmaßstab; große Blende
Der Bereich in unmittelbarer Nähe der Gegenstandsebene ist in der nachfolgenden Grafik besser zu erkennen.
PDF
Abbildung 2: relative Schärfe; Abhängigkeit vom Defokus-Abstand und Brennweite; kleiner Abbildungsmaßstab, große Blende
Hier ist auch der schnell abfallende Verlauf der relativen Schärfe vor der Gegenstandsebene zu erkennen (negative Werte auf der X-Achse). Gut zu sehen ist auch der brennweitenabhängige Bereich der Schärfentiefe, was hier nur für die beiden extremen Brennweiten, 17 mm und 135 mm, eingezeichnet ist.
Abhängigkeit der Unschärfe im Hintergrund und Vordergrund vom Abbildungsmaßstab
Die folgenden Grafiken zeigen den Verlauf der relativen Schärfe bei einer etwas geänderten Aufnahmesituation. Der gewählte Abbildungsmaßstab ist nun 0,1 : 1 und gestattet nun die formatfüllende Abbildung eines 0,222 m großen Objektes. Alle anderen Parameter sind mit denen in der Betrachtung zuvor identisch.
Zunächst der weiter von der Gegenstandsebene entfernte Bereich.
PDF
Abbildung 3: relative Schärfe; Abhängigkeit vom Defokus-Abstand und Brennweite; großer Abbildungsmaßstab; große Blende
Nachfolgend der Bereich in der Nähe der Gegenstandsebene. Auch hier ist der Schärfentiefenbereich eingezeichnet. Man sieht, dass nun die Schärfentiefe praktisch nicht mehr von der Brennweite abhängt.
PDF
Abbildung 4: relative Schärfe; Abhängigkeit vom Defokus-Abstand und Brennweite; großer Abbildungsmaßstab; große Blende
Aus dem Vergleich der beiden letzten Grafiken mit denen davor sieht man, dass die relative Schärfe im Hintergrund und Vordergrund bei großem Abbildungsmaßstab kleiner ist. Je weiter man sich einem Objekt also nähert, umso unschärfer sind Vordergrund und Hintergrund.
Abhängigkeit der Unschärfe im Hintergrund und Vordergrund von der Größe der gewählten Blende
Der gewählte Abbildungsmaßstab ist nun wieder 0,01 : 1, jedoch ist die Blende nun mit f/5,6 um zwei Stufen kleiner als zuvor.
Zunächst der weiter von der Gegenstandsebene entfernte Bereich.
PDF
Abbildung 5: relative Schärfe; Abhängigkeit vom Defokus-Abstand und Brennweite; großer Abbildungsmaßstab; mittlere Blende
Nachfolgend der Bereich in Nähe der Gegenstandsebene.
PDF
Abbildung 6: relative Schärfe; Abhängigkeit vom Defokus-Abstand und Brennweite; großer Abbildungsmaßstab; mittlere Blende
Erwartungsgemäß ist die relative Schärfe hier in allen Fällen größer als zuvor bei der Betrachtung für f/2,8.
Grenzwerte
Wie groß ist der Zerstreuungskreis eines Punktes der sich sehr nahe der Kamera befindet und dabei weit von der Gegenstandsebene entfernt ist? Theoretisch wächst in diesem Fall der Zerstreuungskreisdurchmesser beliebig an und ist unendlich groß, wenn der Punkt die Hauptebene des Linsensystems berührt. Der Abstand zu Gegenstandsebene ist dann gleich der Gegenstandsweite.
![]()
Wie groß ist der Zerstreuungskreis eines Punktes, der unendlich weit hinter der Gegenstandsebene liegt? Dieser Punkt verursacht einen endlich(!) großen Zerstreuungskreis auf Film bzw. Sensor. Die Größe definiert die maximale "Hintergrundunschärfe" des Systems und bestimmt entscheidend sein Freistellungsverhalten.
![]()
| A | Abbildungsmaßstab |
| f | Brennweite |
| D | wirksame Objektivöffnung bzw. Eintrittspupille |
| N | Blendenzahl |
Der maximale Zerstreuungskreisdurchmesser ist somit proportional dem gewählten Abbildungsmaßstab, der Brennweite sowie dem Kehrwert der Blendenzahl. Anders formuliert strebt der Zerstreuungskreisdurchmesser dem Produkt aus Abbildungsmaßstab und Eintrittspupille zu.
Abhängigkeit der Unschärfe im Hintergrund und Vordergrund vom Aufnahmeformat
In den folgenden Grafiken sind zwei Fälle dargestellt. Eine DSLR im 1,6er Crop-Aufnahmeformat mit einem Objektiv mit 50 mm Brennweite bei Blende f/2,8 sowie eine KB-Kamera (bzw. DSLR mit Vollformatsensor) mit einem Objektiv mit 80 mm Brennweite ebenfalls bei Blende f/2,8. Beide Kombinationen dürften etwa den gleichen Bildwinkel zeigen. Wieder ist der Abbildungsmaßstab so gewählt, dass ein Objekt von 2,22 m formatfüllend abgebildet werden kann. Dies entspricht einem Abbildungsmaßstab von 0,01 : 1 bzw. 0,016 : 1.
Das unterschiedliche Aufnahmeformat wurde bei der Berechnung der relativen Schärfe berücksichtigt. So sind für beide Kameras unterschiedliche zulässige Zerstreuungskreisdurchmesser eingesetzt worden.
PDF
Abbildung 7: relative Schärfe; Abhängigkeit vom Aufnahmeformat
PDF
Abbildung 8: relative Schärfe; Abhängigkeit vom Aufnahmeformat
Aus der formelmäßigen Darstellung für cf(x→∞) im vorangehenden Abschnitt lässt sich der Vorteil größerer Aufnahmeformate beim Freistellen ablesen. Bei einer bildwinkeläquivalenten Kamera-/Objektivkonfiguration mit unterschiedlichen Aufnahmeformaten sind sowohl der Abbildungsmaßstab als auch die Brennweite linear vom Aufnahmeformat abhängig. Der sich so ergebende Zerstreuungskreisdurchmesser ist demnach quadratisch vom Aufnahmeformat(-faktor = Crop-Faktor) abhängig. Andererseits ändert sich der zulässige Zerstreuungskreisdurchmesser nur linear mit dem Aufnahmeformat.
Fazit: Die relative Schärfe ist beim größeren Aufnahmeformat um den Crop-Faktor (hier 1,6) geringer.
Zusammenfassung
Gutes Freistellungsverhalten wird erzielt, wenn Objekte im Hintergrund und Vordergrund möglichst unscharf abgebildet werden. Die relative Schärfe sollte dann möglichst gering sein. Aus den Überlegungen oben kann man nun folgendes ableiten:
Freistellung wird begünstigt durch:
lange Brennweite
große Blende
großer Abbildungsmaßstab
großes Aufnahmeformat
| zurück zum Workshop | nach oben |

